招生咨询:0532-83666626   83645725   18053292978

官方公众号

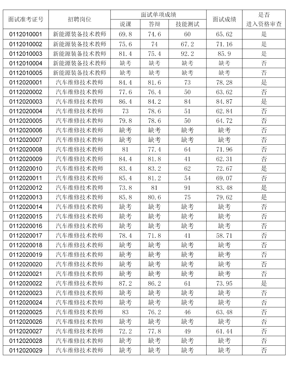
2025年青岛交通职业学校公开招聘教师 面试成绩公告

2025/4/20 19:45:210

根据2025年青岛市教育局直属学校公开招聘教师简章》规定,现将4月20日已全部结束的招聘岗位面试成绩予以公布。

请进入资格审查的考生注意:

1.审查时间:4月21日(星期一)9:00--11:00。

2.审查地点:青岛交通职业学校(台东一路27号)。

3.资格审查提交材料,详见《2025年青岛市教育局直属学校公开招聘工作人员简章》。

青岛交通职业学校

2025年4月20日

Sun Sun Sun Sun Sun